CFG와 PDA는 동일한 힘을 가졌다
즉, CFG가 나타내는 CFL을 PDA도 accept할 수 있고
PDA가 recognize하는 language를 CFG가 만들 수 있다!
CFL -> PDA
A가 CFL이라 한다면 CFG가 존재한다
이 CFG가 생성하는 language를 어떤 PDA가 전부 accept하면 된다.
문제점
- 어떤 rule을 따를지 어케앎?
-> nondeterminism을 이용하셈
모든 rule을 따르게 분기를 만든다 - 변수가 stack 가운데에 박히면 어떻게 접근함?
-> 변수를 stack 최상위에 위치하게 하셈
변수 위의 terminal들은 input과 match시켜 stack에서 뺴버리기
변환 과정
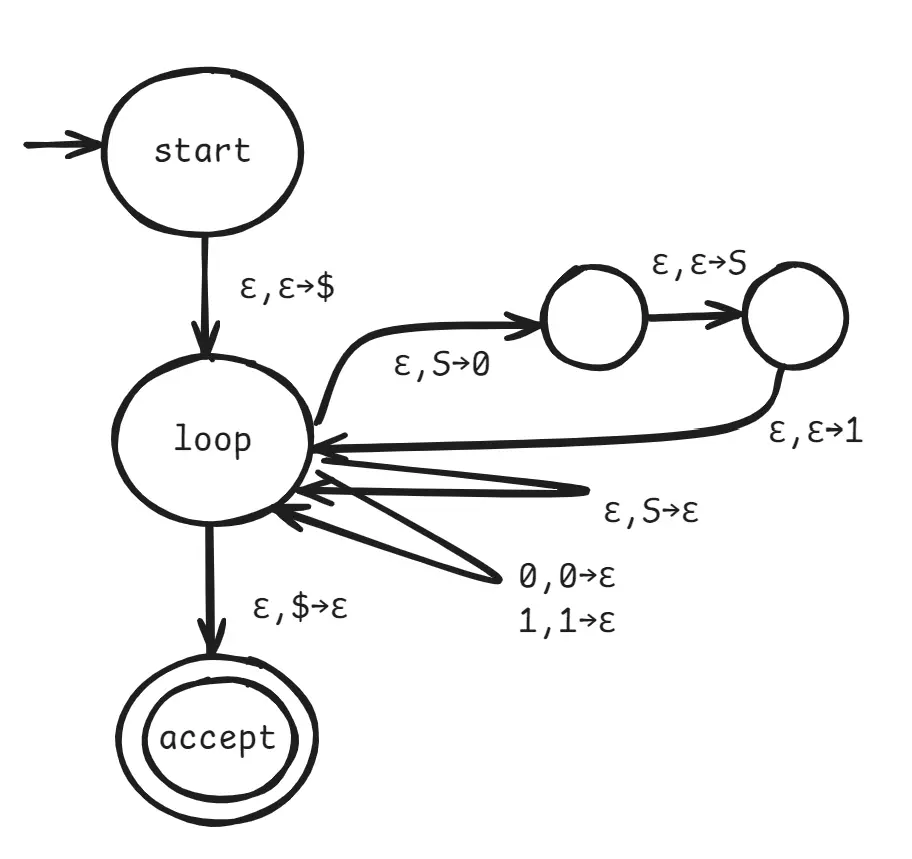
총 3개의 state($q_{start}, q_{loop}, q_{accept}$)로 만든다
- 스택에 $(stack끝 보기용), S(start variable) 집어넣기
- 각 CFG rule 처리하기 (이때는 string 통으로 취급)
case 1: variable이 나올 때
스택에서 변수 꺼내고 rule대로 처리하면 됨case 2: terminal이 나올 때
스택에서 해당 기호와 input과 match해서 지워버리기case 3: $ 처리
걍 $ 빼고 accept로 ㄱㄱ - string을 집어넣는 걸 각 문자를 집어넣게 분해
예) S -> 0S1 | ε 를 PDA로 나타내어라



이렇게 CFG를 PDA로 변환하였다.
PDA -> CFG
복잡하다고 교수님께서 생략하심...
반응형
'CS > 계산이론' 카테고리의 다른 글
| [계산이론](17)[pumping lemma of CFL을 이용한 non-CFL 증명] (0) | 2025.10.21 |
|---|---|
| [계산이론](16)[pumping lemma of CFL] (0) | 2025.10.20 |
| [계산이론](14)[pushdown automata] (0) | 2025.10.16 |
| [계산이론](13)[CFG 디자인] (0) | 2025.10.15 |
| [계산이론](12)[Context Free Language] (0) | 2025.10.14 |