모든 regular expression은 regular language를 recognize할 수 있는가?
모든 regular language는 regular expression으로 표현될 수 있는가?
-> 참 (즉, r.e와 DFA, NFA는 모두 표현력이 같다.)
Regular expression -> Regular language 증명
즉, regular expression이 NFA로 표현됨을 증명
기본 규칙에 대한 NFA
r.e의 기본 요소들은 NFA로 충분히 나타낼 수 있다.
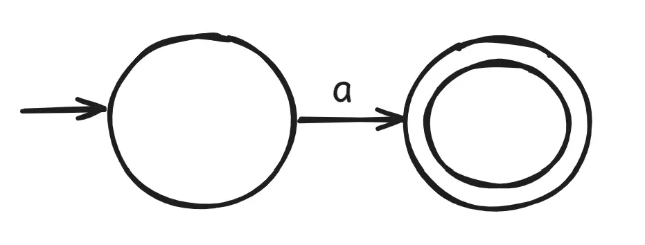
- {a}, $단, \ a \in \sum$
N = (${q_1, q_2}$, $\sum$, $\delta$, $q_1$, ${q_2}$)
단, δ(q1, a) = q2, (단, δ(r, b) = ∅ {r≠q1, a≠b}
- ε
N = (${q_1}$, $\sum$, $\delta$, $q_1$, ${q_1}$)
단, δ(r, b) = ∅ {모든 r, b에 대해}
- ∅
N = (${q_1}$, $\sum$, $\delta$, $q_1$, ∅)
단, δ(r, b) = ∅ {모든 r, b에 대해}
-> 따라서 기본 요소들은 모두 NFA로 표현 가능
즉, regular language다!
귀납적 규칙에 대한 NFA
- $(R_1 \cup R_2), \ 단, \ R_1, \ R_2$가 regular expression
- $(R_1R_2), \ 단, \ R_1, \ R_2$가 regular expression
- $(R_1^*), \ 단, \ R_1$가 regular expression
이것들 모두 앞에서 regular language에 대해 닫혀있다 증명했다.
따라서 기본 요소로 연산하면 이것 또한 regular language다.
예) (ab∪a)* 의 NFA를 그리시오
규칙에 맞춰 그리자!! (같은 language더라도 기계적으로 규칙에 맞춰...)

a, b의 NFA

ab의 NFA

(ab∪a)의 NFA

(ab∪a)*의 NFA
반응형
'CS > 계산이론' 카테고리의 다른 글
| [계산이론](10)[pumping lemma] (0) | 2025.10.10 |
|---|---|
| [계산이론](9)[GNFA, R.E -> R.L] (0) | 2025.10.09 |
| [계산이론](7)[regular expression] (0) | 2025.10.07 |
| [계산이론](6)[NFA를 이용한 닫힘 증명] (0) | 2025.10.06 |
| [계산이론](5)[DFA와 NFA 사이의 변환] (0) | 2025.10.03 |