기본 정리
기본 구조는 집합론, 자료구조를 참고
set VS sequence
- set: 중복없고 순서없는 원소의 모음
- sequence: 중복허용, 순서존재하는 원소의 모음
alphabet: 문자의 set = symbols
예) $\sum_1 = {a, n, s, y}$
string: alphabet으로 이루어진 sequence
특히 빈 string을 $\epsilon$ 이라고 한다.
예) $\sum_1$의 string의 예시 = ansy, as, yana
language: string의 집합
예) language of $\sum_1$ = {ansy, as}, {$\epsilon$, ya}
유한 오토마타 (finit automata)
유한 오토마타: 상태(Q)가 유한집합인 오토마타
state 외의 저장 공간이 없으므로 마르코프 체인마냥 동작한다.
상태 다이어그램 (state diagram)

오토마타의 연산 과정을 나타낸 다이어그램
각 원은 state를 나타낸다
각각 -> 는 transion을 나타낸다
특히 시작 state가 없는 -> 가 가리키는 state는 시작 상태를 나타낸다.
◎는 accept 상태를 나타낸다
정의 ($Q$, $\sum$, $\delta$, $q_0$, $F$)
- states ($Q$)
상태의 유한 집합 - alphabet ($\sum$)
행동에 쓰이는 문자의 유한 집합 - transition funtion ($\delta : Q \times \sum -> Q$)
행동 함수
직접 순서쌍으로 표현하거나 표로 표현 - start state ($q_0 \in Q$)
상태 중 1개 - accept state ($F ⊆ Q$)
목표, 상태의 부분집합
여러개 가능
없어도 됨
형식(syntax): 오토마타가 받아들이는 형식인가?
의미(semantics): 오토마타가 무슨 기능을 하는가?
language of Machine: M이 accept하는 모든 string의 집합
오토마타M이 어떤 string을 넣었을 때 결과적으로 accept한다면
그 string은 M의 language에 포함된다고 말한다.
이런 string을 전부 모은 집합을 A라고 할 때,
L(M) = A 라고 적고
M recognize A 또는 M accepts A라고 한다.
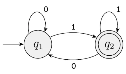
예) 다음 오토마타의 M의 state diagram을 보고 알아보자

M = ($Q$, $\sum$, $\delta$, $q_0$, $F$)으로 정의할 수 있다.
- $Q$ = {$q_1, q_2$}
- $\sum = {0, 1}$
- $\delta = {((q_1, 0), q_1), ((q_1, 1), q_2), ((q_2, 0), q_2), ((q_2, 1), q_1)}$
- $q_0 = q_1$
- $F = {q_2}$
이 오토마타의 syntax에 따라 L(M)에 포함되는 string을 찾아보면,
01, 000011, 0101 ....
즉, L(M) = { 1로 끝나는 string }
따라서 이 오토마타의 sementics는 1로 끝나는 string을 찾는 것이다.
'CS > 계산이론' 카테고리의 다른 글
| [계산이론](6)[NFA를 이용한 닫힘 증명] (0) | 2025.10.06 |
|---|---|
| [계산이론](5)[DFA와 NFA 사이의 변환] (0) | 2025.10.03 |
| [계산이론](4)[nondeterministic] (0) | 2025.10.02 |
| [계산이론](3)[regular operation] (0) | 2025.10.01 |
| [계산이론](2)[accept의 수학적 정의] (0) | 2025.09.30 |